Definicion de Amor

Monica Campaña

Poeta recién llegado
Formula de amor.jpg


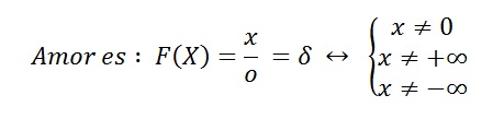
El amor es indefinido, porque con el paso del tiempo se va transformando. Así pues, establecer un concepto del mismo en un espacio y tiempo determinado, solo será válido para ese intervalo espacio-tiempo en el cual se ha descrito.

El amor es una propiedad extrínseca de cada ser humano, por lo que, su valor será variable en el espacio y tiempo.

El amor no es indeterminado, pues eso supondría que tendría un límite. Una frontera.

El amor nunca podrá ser infinito, ya que, el espacio y el tiempo no lo son, y sobre esos planos se determina su existencia. El amor tiene su inicio y su fin en la vida misma de cada persona.
 

Archivos adjuntos

  • Formula de amor.jpg
    Formula de amor.jpg
    10,3 KB · Visitas: 114

MundoPoesía se mantiene gracias a la publicidad y al apoyo de nuestros Mecenas.

✦ Hazte Mecenas

Sin publicidad · Blog propio · Apoya la poesía en español

Atrás
Arriba